I'd like to have an ability to define named sync points between processes within fork
for example:
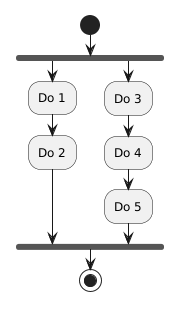
@startuml
start
fork
:Do 1;
== Sync 1 ==
:Do 2;
fork again
:Do 3;
== Sync 1 ==
:Do 4;
:Do 5;
end fork
stop
@enduml
so, that this would result in something like below (means that the processes must sync before doing Do 2 and Do 4):
https://i.ibb.co/2Nk3z8R/sync.png
Note: without the sync point it will result in:
