Java IllegalStateException for june 30 beta

0 votes
asked Jul 30, 2015 in To be sorted by enilwir (200 points)
Hello,

I have been using the beta presented at the end of

http://plantuml.sourceforge.net/qa/?qa=3558/export-to-tikz-loses-links

thread.

 

and found that one diagram, MWE below compiles in the webinterface:

http://i.imgur.com/2Bt7KBO.png compiles but crashes when compiled locally

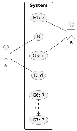
@startuml
 left to right direction
 skinparam packageStyle rect
 actor A
 actor B
 rectangle System {
   A -- (R)
   (E1: e) -- B
   A -- (D: d)
   (G6: g) -- B

   (G7: B) <. (G6: R) : i
 }
 @enduml

causes
logger - ERROR - Exception java.lang.IllegalStateException: Cannot find color #000005
net.sourceforge.plantuml.cucadiagram.UnparsableGraphvizException: java.lang.IllegalStateException: Cannot find color #000005
    at net.sourceforge.plantuml.svek.CucaDiagramFileMakerSvek2.createFile(CucaDiagramFileMakerSvek2.java:232)
    at net.sourceforge.plantuml.svek.CucaDiagramFileMakerSvek.createFileInternal(CucaDiagramFileMakerSvek.java:114)
    at net.sourceforge.plantuml.svek.CucaDiagramFileMakerSvek.createFile(CucaDiagramFileMakerSvek.java:87)
    at net.sourceforge.plantuml.cucadiagram.CucaDiagram.exportDiagramInternal(CucaDiagram.java:314)
    at net.sourceforge.plantuml.UmlDiagram.exportDiagram(UmlDiagram.java:249)
    at net.sourceforge.plantuml.PSystemUtils.exportDiagramsCuca(PSystemUtils.java:206)
    at net.sourceforge.plantuml.PSystemUtils.exportDiagrams(PSystemUtils.java:69)
    at net.sourceforge.plantuml.SourceFileReader.getGeneratedImages(SourceFileReader.java:130)
    at net.sourceforge.plantuml.Run.manageFileInternal(Run.java:394)
    at net.sourceforge.plantuml.Run.processArgs(Run.java:316)
    at net.sourceforge.plantuml.Run.manageAllFiles(Run.java:291)
    at net.sourceforge.plantuml.Run.main(Run.java:135)
Caused by: java.lang.IllegalStateException: Cannot find color #000005
    at net.sourceforge.plantuml.svek.DotStringFactory.getClusterIndex(DotStringFactory.java:386)
    at net.sourceforge.plantuml.svek.DotStringFactory.solve(DotStringFactory.java:358)
    at net.sourceforge.plantuml.svek.CucaDiagramFileMakerSvek2.createFile(CucaDiagramFileMakerSvek2.java:221)
    ... 11 more

with command args (through python scirpt)

java -jar $plantuml.jar 000005.plantuml -o . -tlatex

also crashes with -tsvg flag.

Is there a newer beta/release that contains the latex link functionality that I can try?

using dot - graphviz version 2.26.3 (20100126.1600)

best regards

1 Answer

0 votes
answered Jul 18, 2023 by Potherca (480 points)

Seems to be (long) resolved?

...