Hello,
Is there a way to align components by minimum rank without using packages or together ? As the diagram is generated by script, I cannot use correctly these keywords.
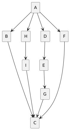
For example I would like B,D,F,H on the same rank (as they are the first successors of A)
Here is the sample:
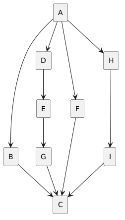
@startuml
rectangle A
rectangle B
rectangle C
rectangle D
rectangle E
rectangle F
rectangle G
rectangle H
rectangle I
A --> B
B --> C
A --> D
D --> E
E --> G
A --> F
F --> C
G --> C
A --> H
H --> I
I --> C
@enduml
I get that:

and I would like this:
