Hello!
How can i make the following diagram via PlantUML?
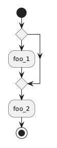
It's important for foo_1 to be placed on the right edge.
Picture is exported from StarUML.
Thanks in advance
(--------)
@startuml sample
start
if () then
:foo_1;
else
endif
:foo_2;
stop
@enduml
The closest I can produce is
I can't mange to force "foo_1" to be on the right.